老师,您好。 关于这个公式,可以详细的解释一下,各表示的什么意义
来源:7-5 随机梯度下降
everyday_java
2020-01-08

老师,您好。 关于这个公式,可以详细的解释一下,各表示的什么意义 ?
写回答
1回答
-
Wotchin
2020-01-10
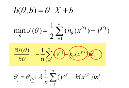
你好,这个公式至少有个同学问过,我在那个问题中统一回复过,就是这里面有一个书写错误,就是那个J(θ)后面是有一个平方的,那么这个J(θ)代表了一个样本预测后误差的平方。
你画圈的这个公式,就是对这个J(θ)中的θ求偏导数,注意后面的那个你画圈的x就是求偏导数中h(θ)求出来的(如果以θ为自变量,x相当于θ的系数,详细可以参考偏导数法则)。
然后这个上标i代表了第i个样本,因为这里面我们是要算一批数据(样本容量为n)的一个平均平方误差嘛,至于这个下标j,代表了x向量的第j个位置。
由于我们想要这个误差最小,所以我们的优化方向是使得这个J(θ)最小,这个过程就叫做最小化均方误差,这个函数叫做最小均方函数,也就是英文缩写的mse.00
相似问题